Integral en serie de fourier
Hola, a ver si me puedes ayudar con esta duda:

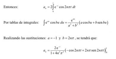
Estoy haciendo ejercicios sobre series de fourier y para sacar a(n) me he encontrado con esta integral.
El caso es que imagino que se resuelve por partes pero en el ejemplo que tengo aplica esa formulita que saca de algunas tablas.
Yo nunca había visto antes tablas que resolvieran exponenciales asi, podrías explicarme un poco y de paso decirme si existen mas formulitas como esta asi abreviadas para resolver integrales? Si puedes ponme algún link de internet porque yo no he sido capaz de encontrar tablas de este tipo.
Si realizo la integral por partes me debería salir el mismo resultado que con la formula de la tabla?
Por cierto, no se ve bien, pero la integral esta definida (0<x<1) y la exponencial elevada a (-t).
Gracias anticipadas.