Valero Angel Serrano Mercadal

Valero Angel Serrano Mercadal

Me voy x tiempo. Necesito hacer otras cosas, descansar y que cambien algunas cosas.
 5.867K puntos  Aragón, España @valeroasm desde - visto

Respuestas en Cálculo

Respuesta en y en 1 temas más a

Como puedo resolver este ejercicio de integral indefinida

· · ¡Hola Yolanda! Son dos integrales inmediatas ya que por las derivadas sabes que: Y eso es todo, sa lu dos. : :
Respuesta en y en 1 temas más a

Como puedo resolver este ejercicio de integral

· · ¡Hola Yolanda! Es una integral muy sencilla, primero sacaremos el 2 fuera y luego aplicaremos la fórmula de la integral inmediata de un monomio, aunque en la practica se hace todo en un solo paso Y eso es todo, sa lu dos. : :
Respuesta en y en 2 temas más a

Tengo una duda de como resolver este limite..

· · ¡Hola Jos! Ya he respondido aquí esta pregunta: Límite con doble proceso para resolverlo. No olvides valorar en los dos sitios. Saludos. : :
Respuesta en y en 2 temas más a

Tengo una duda de como resolver este limite con radicales...

· · ¡Hola Jos! Y eso es todo, saludos. : :
Respuesta en y en 2 temas más a

Una finca de área 3.020m2 ha sido dividida en 1/4;2/5; y el resto en 4 partes iguales una de ellas para la casa

· · ¡Hola Anónimo! La primera división es 1/4 de 3020 = 3020/4 = 755m^2 La segunda es 2/5 de 3020 = 2 · 3020 / 5 = 6040 / 5 = 1208m^2 Luego quedan 3020 - 755 - 1208 = 1057m^2 Y para la casa es la cuarta parte de ello, luego 1057 / 4 = 264.25m^2 Luego...
Respuesta en y en 4 temas más a

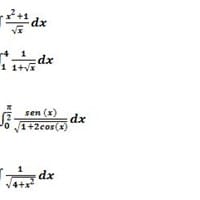
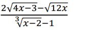
Aplicando las propiedades y definición de integral, resolver las siguientes integrales

· · ¡Hola Elkin! Son muchos ejercicios, haré las dos primeras. La primera es muy sencilla, basta con poner la función como suma de dos Y eso es todo. Las otras no las veo fáciles a primera vista, deberás mandar una en cada pregunta. Sa lu dos. : :
Respuesta en y en 3 temas más a

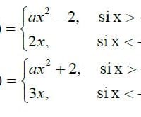
Solución de los siguientes problemas de análisis de limites y continuidad.

· · ¡Hola Elkin! Debes poner los enunciados completos, imagino que quieres decir que hay que calcular el valor de a para que las funciones sean continuas. Si es así los límites laterales serán coincidentes. Y eso es todo sa lu dos. : :
Respuesta en y en 3 temas más a

Calcular la simetría de las siguientes funciones

· · ¡Hola Elkin! Yo no sé hasta que punto habéis avanzado en el tema este de la simetría. Básicamente se habla de dos tipos de simetría. Simetría axial respecto del eje Y, también llamada par. Son las funciones que cumplen f(-x) = f(x) Si son...
Respuesta en y en 2 temas más a

Resuelve los siguientes problemas por el método Gauss Jordán.

· · ¡Hola Oscar! Este ejercicio no tiene nada que ver con el método de Gauss Jordan, es un ejercicio de combinatoria. Lo mejor es explicarlo con números: Titulares = 90, reservas = 65 Fútbol = 11 titulares y 6 reservas Los titulares se podrán elegir...
Respuesta en y en 1 temas más a

Respecto a las funciones lineales y cuadráticas, investiga en libros y en la red las situaciones en las que se observan.

· · ¡Hola Cobali! Este es el ejemplo que ya di hace un tiempo: Funciones lineales y cuadráticas : :