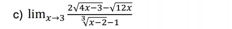
Tengo una duda de como resolver este limite..

Hola, tengo una duda de como resolver los siguientes limites y saber si estos existen..
1 Respuesta
Respuesta de Valero Angel Serrano Mercadal
1