Valero Angel Serrano Mercadal

Valero Angel Serrano Mercadal

Me voy x tiempo. Necesito hacer otras cosas, descansar y que cambien algunas cosas.
 5.867K puntos  Aragón, España @valeroasm desde - visto

Respuestas en Cálculo

Respuesta en y en 2 temas más a

Presentar los tres puntos que integran la actividad: una situación real, la función lineal de la situación planteada y la gráfic

· · ¡Hola Cobali! En este ejercicio había algunos que mandaban su ejemplo, para los que no mandaban ninguno creé una lista de ejemplos: Compendio de ejemplos : :
Respuesta en y en 1 temas más a

Actividad de situación real, la función lineal de la situación planteada y la gráfica de la función.

· · ¡Hola Michael! En este ejercicio podías mandar una situación que habías propuesto. Para los que no mandáis ninguna ya propuse unos cuantos ejemplos en su momento: Compendio de ejemplos : :
Respuesta en y en 2 temas más a

Lee con detenimiento las siguientes situaciones y selecciona una de ellas:

· · ¡Hola Cobali! Este es un viejo ejercicio que ya resolví hace tiempo, este es el enlace a la respuesta: Cibercafé, baile y camión : :
Respuesta en y en 2 temas más a

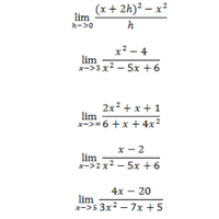
Solución a los siguientes ejercicios sobre limites.

· · ¡Hola Nathanael! Son muchos ejercicios, haré los tres primeros y si quieres los otros mándalos en otra pregunta. Y eso es todo, no olvides valorar la respuesta abajo pinchando donde pone Excelente para tener derecho a nuevas respuestas. Saludos. : :
Respuesta en y en 2 temas más a

Calcule 〖Proy〗_v u sabiendo que:a). U=6/7 i+3j; v=2i-2j

· · ¡Hola Karina! La fórmula es el producto escalar de los dos vectores entre la norma del vector sobre el que se proyecta. La proyección del vector a sobre el vector b es: Y eso es todo, sa lu dos. : :
Respuesta en y en 1 temas más a

Calcule los cosenos directores del vector v=4i+6i-7k

· · ¡Hola Karina! Los cosenos directores son: Y eso es todo, saludos. : :
Respuesta en y en 2 temas más a

Tengo una duda de como resolver los siguientes limites

· · ¡Hola Jos! Si el punto donde se calcula el límite no es uno de los de cambio de la función se usa el trozo que le corresponde y se evalúa. Si el punto es uno donde cambia tienes que evaluar los límites laterales, cada uno con su función...
Respuesta en y en 2 temas más a

Necesito calcular este limite que incluye radicales...

· · ¡Hola Jos! Supongo que habrás dado la regla de l'Hôpital, si no me parece demasiado complicado. Si lo evalúas verás que es un límite del tipo 0/0, la regla de l'Hôpital dice que se se deriva el numerador y el denominador tenemos el mismo límite....
Respuesta en y en 2 temas más a

¿Porqué -5 no es solución de esta ecuación logarítmica?

· · ¡Hola Bucheza! Cuando resuelves 2·logx = log(10-3x) En realidad estas resolviendo estas tres cosas 1) x > 0 2) 10 - 3x > 0 3) 2·logx = log(10-3x) Ya que solo hay logaritmos de los números positivos Al principio obviamos las dos inecuaciones...
Respuesta en y en 2 temas más a

Sean u=7i+3jyv=4i-∝j Encuentre α tal que: a). Uyv Sean ortogonales.b). Uyv Sean paralelos.

· · ¡Hola Karina! u = 7i + 3j v = 4i - ∝j Serán ortogonales si el producto escalar es 0 u·v = 28 - 3∝ = 0 28 = 3∝ ∝= 28/3 Y serán paralelos si los vectores son proporcionales 7i + 3j = k(4i - ∝j) 7i + 3j = 4ki - 4k∝j Esto supone dos ecuaciones al...