Karl Mat

Karl Mat

 33,1K puntos  Perú @tutordematematicas desde - visto
Preguntar

Respuestas

Respuesta en y en 3 temas más a

Sólidos de revolución, Calculo integral

Tal como está tendrías una integral cuyo valor es +infinito. Para obtener un valor se tendría que acotarla por alguna otra función.
Respuesta en y en 3 temas más a

En el trapecio ABCD; AB y DC son las bases mayor y menor respectivamente y M y N son los puntos medios

1) Por definición del trapecio, se sabe que AB || DC 2) Supongamos que los segmentos AB y DC tengan la misma dirección y además: Es decir que donde m y n son números reales distintos de cero 3) Sea P y Q los puntos medios de los segmentos AD y BC...
Respuesta en y en 4 temas más a

Razón de cambio, en un cono invertido

En si todo está bien @Andrea Perez excepto que dv/dt = -10, ya que la función volumen decrece Al final obtienes dh/dt = 2/(5pi) Lo que en realidad es dh/dt = -2/(5pi) y como h = 2r entonces dh = 2 dr, reemplazamos 2 dr / dt = -2/(5pi) dr / dt = -1/(5pi)
Respuesta en y en 1 temas más a

. Determinar si los planos son paralelos

En los planos de la forma Ax + By + C + D = 0, su vector ortogonal se puede escribir así v=(A,B,C) Entonces para saber si dos planos son paralelos, sus vectores ortogonales deben ser paralelos también. Para el plano P1 se tiene el vector ort. v1 =...
Respuesta en y en 3 temas más a

Quien solución de calculo diferencial

Veamos...
Respuesta en y en 2 temas más a

Calcular el volumen de una superficie

Véase los gráficos
Respuesta en y en 1 temas más a

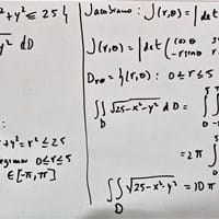
Pasar de coordenadas cartesianas a polares

Vamos a colocar el ejercicio de la foto en coordenadas polares J es el valor absoluto del Jacobiano de la transformación g
Respuesta en y en 3 temas más a

Alguien que me ayude con dos integrales dobles que no se como hacerlas.

Véase las imágenes 1. Cambio de sistema coordenadas 2. Y el siempre confiable Fubinni
Respuesta en y en 1 temas más a

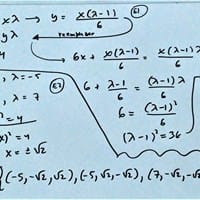
Calcular de dos formas un limite

Otro método es similar la L'Hospital, la idea es escribir cada parte de la fracción como una descomposición polinómica de Taylor En este caso Por ende

Suscríbete RSS