Calcular el volumen de una superficie

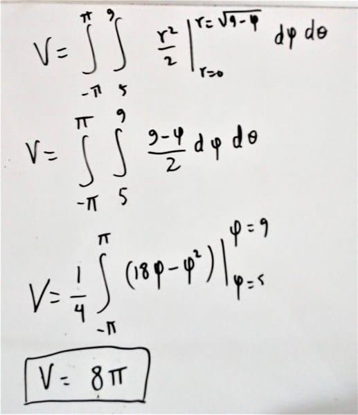
Necesito ayuda con el siguiente ejercicio. Se que la segunda ecuación es una circunferencia de radio 2 por tanto sus limies de integracio serian [-2,2]. Pero la primera ecuación no se como resolverla para poder hallar el volumen
1 respuesta
Respuesta de Karl Mat
2


