Alguien que me ayude con dos integrales dobles que no se como hacerlas.
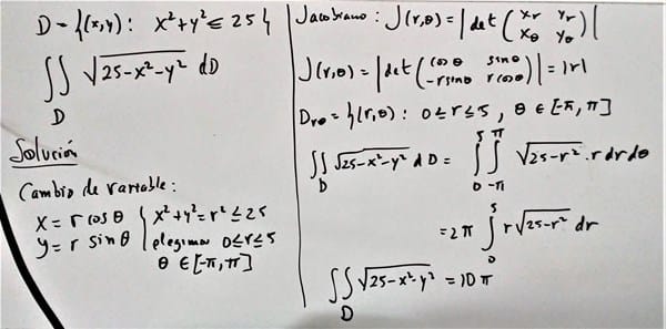
Si D es el círculo
$$\begin{align}&x^2+y^2<=25\end{align}$$Hacer la integral doble de :
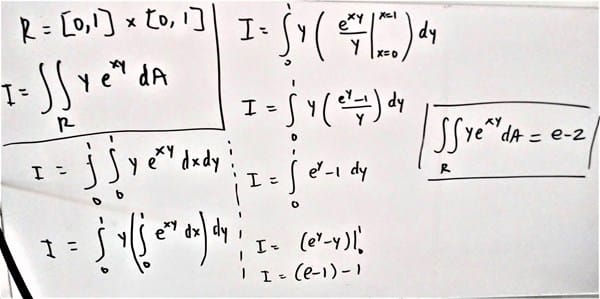
$$\begin{align}&raízcuadradade(25-x^2-y^2)\end{align}$$La otra es dado el rectángulo de dimensiones[0,1]*[0,1] hacer la integral doble de:
y*e^xy
1 respuesta
Respuesta de Karl Mat

