Respuesta
en
Matemáticas
a
Problemas utilizando pitágoras referentes a triángulos rectángulos
Respuesta
en
Matemáticas
a
LA SUMA DE DOS NUMEROS ES 400_____ y su diferencia es 36_____ escribe una expresión algebraica de las 2 ecuaciones y resuelve
Debes resolver el sistema de ecuaciones dado por: x+y=400 x-y=36 La solución es x=218 e y=182
Respuesta
en
Matemáticas
y en 2 temas más
a
Calcule el volumen del área plana comprendida entre las siguientes funciones, engendrado al girar alrededor del eje Y
Respuesta
en
Matemáticas
a
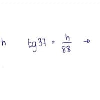
Desde una distancia de 88m a un árbol se observa su parte superior con un angulo de elevación de 37 :hallar su altura
Respuesta
en
Matemáticas
y en 1 temas más
a
Ejercicio de interseccion quienme explica 1. Sean A = [−2, 5) , B = (−∞, 0) y C = (−4, 1). Hallar:a) a ∩ b¨. B) (a ∪ c) − b
La intersección entre dos conjuntos es el conjunto formado por los elementos comunes a ambos; en el caso a intersección b es [-2,0). La unión es el conjunto formado por los elementos de ambos conjuntos en el caso a unión c es [-4, 5) pero en el caso...
Respuesta
en
Matemáticas
y en 2 temas más
a
Me explican estos conceptos de matemáticas
Una función es inyectiva cuando no hay dos elementos del dominio que tengan la misma imagen. (Para todo a y b números del dominido se verifica que si f(a)=f(b) entonces a=b - Es únicamente un entonces no una doble implicación-) Una función es...
Respuesta
en
Matemáticas
a
I. La propiedad asociativa: (AB)C = A(BC), solo se cumple si las matrices A, B y C son cuadradas y del mismo orden.
Respuesta
en
Cálculo
a
Tengo un problema de calculo que soy incapaz de resolver
Respuesta
en
Álgebra
a
Resolver las siguientes ecuaciones de 2º grado
Respuesta
en
Matemáticas
a
Calcular la fuerza que tiene un cuerpo cuya masa es de 2.000 g que tiene una aceleración de 5 Kg. M/s2
La Segunda Ley de Newton establece que las aceleraciones que experimenta un cuerpo son proporcionales a las fuerzas que recibe. Esto se traduce con la Fórmula F=m*a, donde F es la fuerza, m la masa, y a la aceleración. Por tanto, en este caso tenemos...
