Miriam Mañe

Miriam Mañe

 México @miriammane desde - visto
Preguntar

Actividad pública reciente

Ha valorado "Excelente" la respuesta

Determina la integral de la siguiente función:

respondió: Te dejo la solución (supongo que 3x-5 está en el exponente).
Voto positivo a la respuesta

Como determinar las siguientes funciones: I(t)=5.88-〖0.05t〗^2 y C(t)=0.2+0.2t^2

respondió: · · Pues como nos indican lo que hay que hacer simplemente lo haremos. 5.88 - 0.05t^2 = 0.2 + 0.2t^2 5.88 - 0.2 = 0.2t^2 + 0.05t^2 5.68 = 0.25t^2 t^2 = 5.68 / 0.25 = 22.72 t = sqrt(22.72) = 4.77 años Luego le conviene tenerla 4.77 años · Y ahora...
Voto positivo a la respuesta

¿Cómo determinar el tiempo que le conviene tener en operación la maquinaria y determinar la utilidad acumulada desde el momento?

respondió: · Pues como nos indican lo que hay que hacer simplemente lo haremos. 5.88 - 0.05t^2 = 0.2 + 0.2t^2 5.88 - 0.2 = 0.2t^2 + 0.05t^2 5.68 = 0.25t^2 t^2 = 5.68 / 0.25 = 22.72 t = sqrt(22.72) = 4.77 años Luego le conviene tenerla 4.77 años · Y ahora...
Voto positivo a la respuesta

¿Cómo determinar el tiempo de operación de una máquina?

respondió: Pues en las sugerencias tenés las soluciones 1. 2. No estoy seguro y no se por qué (temas del editor de ecuaciones ), pero me parece que la solución al punto 2 quedó al inicio de la respuesta.
Voto positivo a la respuesta

Obtención de funciones a partir de las marginales

respondió: Mándalas de dos en dos Aquí tienes algunas Obtención de funciones a partir de las marginales Y aquí las restantes: Cómo determino la integral de las funciones? Igualmente recuerda que debes votar aquí las respuestas
Ha valorado "Excelente" la respuesta

Determinar la función de costo total, suponiendo que la constante de integración es de 500.

respondió: · Precisamente iba a buscar una solución ya dada, pero veo que dices que no te quedo claro. Esta es la respuesta que di, antes daba una menos completa. · Si nos dan la derivada del costo, para conocer el costo deberemos integrar la derivada....
Ha valorado "Excelente" la respuesta

Como realizar las integrales definidas de las dos siguientes funciones.

respondió: · Son integrales casi inmediatas. Y eso es todo.
Voto positivo a la respuesta

Como se resuelven las Integrales definidas y por sustitución?

respondió: Hola Miryam! Te hago las 4 primeras. Mándame el resto en dos preguntas más. Me es más cómodo con el editor de ecuaciones.
Ha valorado "Excelente" la respuesta

Como realizar las integrales definidas de las siguientes funciones.

respondió: · No sé si te habremos dicho alguna vez que solo contestamos 2 integrales en cada pregunta, haré las dos primeras y si quieres manda las otras dos en otra pregunta. Y eso es todo.
Voto positivo a la respuesta

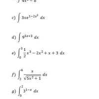
Ejercicio de Integral definida y por sustitución

respondió: . Son muchos ejercicios para una sola pregunta. En integrales estamos resolviendo un máximo de dos por pregunta. Puedes mandar otra pregunta con las dos que no resuelva tras puntuar estas. La segunda se resuelve por cambio de variable. La tercera...
Ha valorado "Excelente" la respuesta

Calcular la siguiente integral ∫2 x^2 (7-3x^3)^5 dx

respondió: ¡Hola Miriam! · Haremos un cambio de variable