Alguien explique paso a paso el método de comparación

sugerencia comparacion del limite con

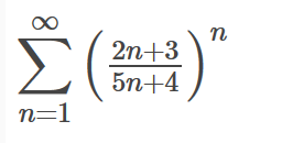
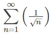
Utilice el criterio de comparación del limite para determinar si la serie converge o diverge
Si por favor explican más o menos como entenderle a este criterio seria de mucha ayuda.