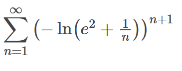
Alguien resuelva paso a paso esta serie

Utilice el criterio de la raíz para determinar si esta serie converge absolutamente o diverge.
Si alguien están amable de explicar más o menos el criterio seria de gran ayuda

Utilice el criterio de la raíz para determinar si esta serie converge absolutamente o diverge.
Si alguien están amable de explicar más o menos el criterio seria de gran ayuda