Algoritmo que aproxime el logaritmo natural de un numero x, en c++
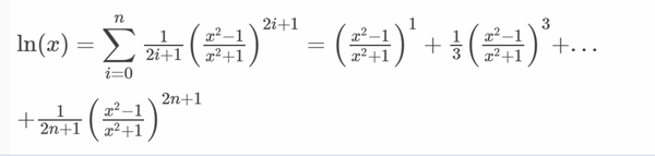
Ayuda a desarrollar en C++ un algoritmo que aproxime el logaritmo natural de un numero x. Para tal objetivo se tiene la aproximación al n-esemi termino.

usando su algoritmo con n = 1000 y x = -16 ¿cual es el valor de ln(x)?