Juan Rafael Vera

Juan Rafael Vera

 Madrid, España @matefisi desde - visto
Preguntar

Actividad pública reciente

Ha preguntado en el tema en y en 1 temas más

Empresa arreglo tejado uralita málaga

Soy un particular que vive en Málaga y estoy buscando una empresa seria y con buenas referencias para reparar filtraciones en la cubierta de uralita en el tejado del edificio donde vivo He visto varias opciones, pero me gustaría saber si alguien ha...
Ha valorado "Excelente" la respuesta

Se puede omprimir tamaño carpeta Zip

respondió: I. Hola Juan Rafael, en mi caso no soy conocedor pero vi la aplicación ''Master Zipkin'' que creo cumple con la función que busca. https://zipking.wmaster.com/ https://github.com/liaokailin/zipkin Deseaba trasladarle el resto de la información que vi...
Ha valorado "Buena" la respuesta

Alguien ha h cho una curación de contenidos educativos

respondió: I. Hola Rafael, únicamente soy lector habitual pero deseaba trasladarle un poco de información sobre este tema recogida en parte de consultas anteriores, por si dispone de tiempo y pudiese serle de utilidad mientras le atiende de primera mano un...
Ha valorado "Excelente" la respuesta

Duda sobre números de cables de salida magnetotérmico

respondió: Es habitual encontrar varios cables conectados al mismo magnetotérmico.
Ha valorado "Buena" la respuesta

Donde vivir un familiar con enfermedad mental

respondió: Está claro que eso es un asunto de "Servicios Sociales".. lo mejor es que te dirijas, o busques información en alguna web, corresponjdiente a la Comunidad de Madrid, donde pone que resides y seguro te informarán. Hasta puede que te ofrezcan alguna...
Ha preguntado en el tema en y en 3 temas más

Unir 2 trozos de lana de acero

Os escribo por si algún lector/a me podría decir o aconsejar como unir 2 trozos de lana de acero, de la típica que se compra en Mercadona, si haría falta algún pegamento especial u otro sistema.
Ha preguntado en el tema en y en 2 temas más

Problemas con cableado por ratas

Quería pediros algún consejo acerca de cómo proteger los cables eléctricos de ratas.
Sin respuestas
Ha valorado "Buena" la respuesta

Muro de carga como identificarlo

respondió: Hay varias formas de saber si es un muro de carga. En principio una anchura superior al resto de paredes puedes pensar que es de carga. Si la golpeas y suena a hueco te da que pensar que no es de carga. Si en el piso superior hay una pared justo...
Ha preguntado en el tema en y en 1 temas más

Requisitoria judicial necesidad de abogado

Les escribo para que me aclaren la siguiente duda, ¿Una persona requisitoriada por un juzgado necesita un abogado cuando es detenido por la Policía al comprobar que tiene una requisitoria en vigor?.. Me podrían aclarármelo y legislación en la que...
Sin respuestas
Ha preguntado en el tema en y en 3 temas más

Guía sobre realización de denuncia administrativa

Me gustaría que algún experto me aclarara el siguiente asunto: ¿Las denuncias administrativas formuladas por un funcionario tienen que estar foliadas y rubricadas? Y si es así en que legislación está reflejada, las diligencias penales sí tienen que...
Sin respuestas
Ha empezado a seguir la pregunta

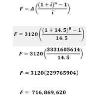
Me pueden decir si estoy bien con mi problema de Ingeniería económica, flujo de efectivo

Problema para resolver: Si un analista de sistemas ahorra cada año $3,120MXN en una página crowdfunding que da un 14.5% de interés capitalizado anualmente, ¿Cuánto tendrá al finalizar el octavo año? Tengo el siguiente resultado pero quisiera saber si...