Respuesta
en
Matemáticas
y en 2 temas más
a
En la figura L1//L2, Determinar la medida de AC
Respuesta
en
Matemáticas
y en 1 temas más
a
En la figura, L1//L2, Determinar la medida de AD
Respuesta
en
Matemáticas
y en 1 temas más
a
En la figura, ¿Cual es el valor de x?
Respuesta
en
Matemáticas
y en 2 temas más
a
En la figura, l1//l2 Determinar medida de BC
Respuesta
en
Matemáticas
y en 1 temas más
a
En la figura l1/l2, determinar las medidas de AB y BC
Respuesta
en
Matemáticas
y en 1 temas más
a
En la siguiente figura. Determinar el perímetro del triangulo ABC.
Respuesta
en
Matemáticas
a
Tres arboles se encuentran alineados en una misma direccion
Respuesta
en
Matemáticas
a
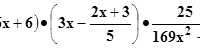
Evaluar el desarrollo del siguiente ejercicio matemático.
Respuesta
en
Matemáticas
a
¿Sacar el área de la parte sombreada?
Respuesta
en
Matemáticas
a
