En la siguiente figura. Determinar el perímetro del triangulo ABC.
En la figura, CD es bisectriz del triangulo ABC. Determine el perímetro del triangulo ABC.
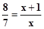
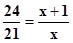
Necesito el desarrollo de este ejercicio
2 respuestas
Respuesta de Luis Alberto Candio Salcedo
1
Respuesta de Valero Angel Serrano Mercadal
1
