Respuesta
en
Topografía
y en 1 temas más
a
¿A qué distancia se encuentran las siguientes coordenadas?
Respuesta
en
Matemáticas
a
¿Cómo determino las medidas del siguiente terreno?, geometría analítica
Respuesta
en
Matemáticas
y en 2 temas más
a
Calcular la suma de los 60 primeros terminos de la progrecion aritmetica
Respuesta
en
Matemáticas
a
Como resolver problema calculo diferencial
Como estas: 1° Día: 40' 2° Día: 42' 3° Día: 44' 4° Día: 46' . . 21° Día: ? Para hallar cuantos minutos nada el día 21, utilizaremos la siguiente expresión: Reemplazamos: El día 21 nada 80 minutos. El tiempo que nada a lo largo de los 21 días se...
Respuesta
en
Matemáticas
a
¿Cómo encuentro las coordenadas de “C” en el siguiente plano cartesiano?
Respuesta
en
Matemáticas
a
Cual es el mínimo común múltiplo de 18,24 y 30
Respuesta
en
Matemáticas
a
Un vendedor recibe una comisión del 5% sobre las ventas que realiza ¿Cuanto dinero recibe después de vender 9.500.000
Como estas: De acuerdo a los datos se tiene: El porcentaje lo expresamos como fracción: Simplificamos y multiplicamos: Lo que gana el vendedor es 475 000.
Respuesta
en
Matemáticas
y en 1 temas más
a
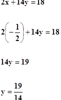
Necesito resolver esta ecuacion lineal
Como estas: Se tiene: Producto "x": 50x Producto "y": 35y Luego: Además: Reemplazamos la ecuación II en I Hallamos "x":
Respuesta
en
Matemáticas
a
