Necesito que método y que resultado da este sistema de ecuaciónes con 2 incógnitas
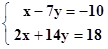
A) X-7y=-10
B) 2X+14=18
Necesito saber este sistema de ecuaciones de 2 incógnitas, quiero saber que método es y también cual es el valor de X y cual es el valor de Y
1 respuesta
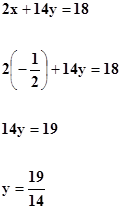
Respuesta de Luis Alberto Candio Salcedo

