Respuesta
en
Matemáticas
y en 1 temas más
a
Este limite no lo puedo resolver no entendí
Respuesta
en
Matemáticas
y en 1 temas más
a
No puedo con este limite me podrían enseñar
Respuesta
en
Matemáticas
y en 2 temas más
a
Tengo dudas de limites y continuidad
Respuesta
en
Matemáticas
y en 1 temas más
a
Limites no encuentro la solución
Respuesta
en
Matemáticas
y en 1 temas más
a
Como se resuelve este problema de calculo (Limites)
Respuesta
en
Matemáticas
y en 2 temas más
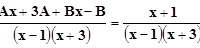
a
Necesito saber con esta fracción polinómica por qué me. Pide descomponerla y no sé cómo hacerlo
Respuesta
en
Matemáticas
y en 1 temas más
a
P(x)= 3X^4+aX^3+bX^2-6X+9Al dividirlo entre (X-2) y (X+2) da como resto respectivamente 17 y 13 ¿Valor de a y b? Como puedo?
Como estas: Usaremos el teorema del RESTO: Si P(x) es divisible entre (x - 2), entonces: hacemos x - 2 = 0, Luego: x = 2, reemplazamos en P(x) P(2) = 3(2)^4 + a(2)^3 + b(2)^2 - 6(2) + 9 = 17 48 + 8a + 4b - 12 + 9 = 17 8a + 4b = - 28 Simplificando: 2a...
Respuesta
en
Matemáticas
y en 2 temas más
a
¿Duda con la suma de los términos de la progresión?
Mariana como estas: Primero vamos hallar la razón aritmética "d": El término 10 se puede escribir: a10 = a1 + 9d Reemplazando: - 11 = 7 + 9d - 18 = 9d - 2 = d Luego, vamos hallar el término 22 a22 = a1 + 21d a22 = 7 + 21 (- 2) a22 = 7 - 42 = - 35...
Respuesta
en
Matemáticas
y en 1 temas más
a
Esque quiero resolver la siguiente ecuacion pero en método de reducción 15x - 11y= - 87 -12x - 5y= -27?
¿Cómo estas? 15x - 11 y = - 87 ................. (I) - 12x - 5y = - 27 .................(II) Multiplico x 4 a la ecuación (I) Multiplico x 5 a la ecuación (II) 60x - 44y = - 348 - 60x - 25y = - 135 Sumo ambas ecuaciones: - 69 y = - 483 y = 7 Luego,...
