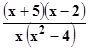
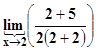
Como se resuelve este problema de calculo (Limites)

Como resuelvo este ejercicio de limites
2 respuestas
                    Respuesta de Luis Alberto Candio Salcedo                
                
        
        
            
                1
              
        
        
        
            
            
        
    
                
                    Respuesta de Valero Angel Serrano Mercadal                
                
        
        
            
                1
              
        
        
        
            
            
        
    
                






 
        