Necesito saber con esta fracción polinómica por qué me. Pide descomponerla y no sé cómo hacerlo
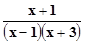
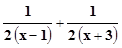
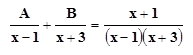
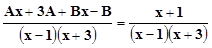
Al descomponer X+1/(X-1)(X+3) en suma de fracciones simples, ¿qué sumando aparece?
1 Respuesta
Respuesta de Luis Alberto Candio Salcedo
1

