Respuesta
en
Bridge
y en 2 temas más
a
Expresión algebraica de un problema
Como estas: Luis: 3x José: x Luego: 3x + x = 550 4x = 550 x = 137,50 Luis: 3(137,50) = 412,50 José: = 137,50 Eso es todo, espero que puedas entender, si no es así pregúntame por favor. No te olvides puntuar la respuesta con “excelente” para poder...
Respuesta
en
Matemáticas
y en 1 temas más
a
¿Cuántas diagonales pueden trazarse en un polígono regular en el que cada ángulo externo mide 20°?
Respuesta
en
Matemáticas
y en 3 temas más
a
Cómo indicar el grado absoluto del siguiente polinomio?
Como estas: El grado absoluto del 1° término se obtiene sumando los exponentes y luego lo multiplicamos por el exponente que esta fuera del paréntesis, así: 1° Término: (2 + 3) x 1 = 5 2° Término: (2 + 3) x 2 = 10 3° Término: (2 + 3) x 4 = 20 Los...
Respuesta
en
Matemáticas
y en 4 temas más
a
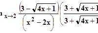
Determine el valor de este limite si llegase a existir
Respuesta
en
Matemáticas
y en 2 temas más
a
Inquietud problema de pirámides y expresiones
Como estas: El área lateral es la suma de las caras laterales de la pirámide. Las caras laterales son triángulos y si sus aristas son congruentes, entonces son triángulos equiláteros. El área total se halla con la siguiente expresión: Luego,...
Respuesta
en
Matemáticas
y en 3 temas más
a
Duda con problema geométrico pirámide keops
Respuesta
en
Matemáticas
y en 2 temas más
a
Duda problema geometría con poliedros
Respuesta
en
Matemáticas
y en 2 temas más
a
Duda problema sobre pirámide inscrita en un prisma
Respuesta
en
Ingenieria Mecánica
y en 4 temas más
a
Duda problema con cilindros en geometría
Respuesta
en
Matemáticas
y en 2 temas más
a
