Inquietud problema de pirámides y expresiones
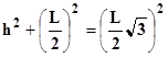
Determina las expresiones que permiten calcular el área latera, área total y el volumen de una pirámide base cuadrada si se sabe que sus aristas son congruentes.
1 respuesta
Respuesta de Luis Alberto Candio Salcedo
1


