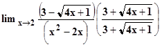
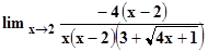
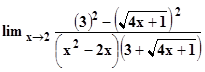
Determine el valor de este limite si llegase a existir
Agradezco su valiosa colaboración con este ejercicio de limite

1 Respuesta
Respuesta de Luis Alberto Candio Salcedo
2



