Llaq Kmg

Llaq Kmg

Vivir
 20,0K puntos  España @llaqkmg desde - visto
Preguntar

Respuestas

Respuesta en y en 1 temas más a

Calcula las siguientes Derivadas Impolíticas x^3+y^3=8

He respondido algunas preguntas como esta unos días atrás. Aquí cómo hacerla
Respuesta en y en 2 temas más a

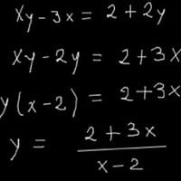
¿Como se convierte en explícita la función Xy-3x=2+2y?

LO primero que tienes que hacer es separar los términos con la variable Y a un lado y los de las demás variables al otro. Luego buscas aislar la Y.
Respuesta en y en 2 temas más a

Física Dos pequeñas esferas, de masa .. Colisión frontal y perfectamente elástica entre ambas esferas

El procedimiento está aquí Dos pequeñas esferas de masas respectivas Si ves el triángulo que se forma entre el hilo inclinado, entonces la distancia horizontal es igual a L(sen30º) y la vertical es L-h igual a L (cos30º) Entonces, L(sen30º) = 0,540...
Respuesta en a

La grafica de la funcion f(x) es la siguiente

Para hallar la pendiente se utiliza Entonces, en el problema es el intervalo (2 , 4)
Respuesta en y en 1 temas más a

Resolver esta tarea de matemáticas sobre limites

En la 1 y la 2 basta con reemplazar el valor de x por el número al que tiende. En la 3 falta un exponente, pero creo que es igual que en la 1 y 2, basta con reeplazar el valor de x. Resuelvo la 4, que en este caso es más sencillo racionalizado el...
Respuesta en y en 2 temas más a

Gauss Jordan 6 incognitas 3 ecuaciones, como hacerlo?

Allí, en lo que obtenido puedes ver que la única opción posible es que x3, x4, x5 y x6 tienen que ser iguales que cero. Así, x1 y x2 son los que tienen un valor difernte de cero. Míralo así

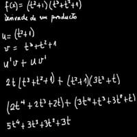
Calcular las siguientes derivadas de orden superior

Estás pidiendo la derivada cuarta. La función original tiene el mayor grado 2, entonces tendrá una primera derivada igual a 6x-1, y una segunda derivada igual a 6 . La tercera derivada y las siguientes son iguales a cero. Esto es por las reglas de...
Respuesta en y en 3 temas más a

Calcular las sig. Derivadas impliticas ?(?) 2cos(2?) = 1

Aquí unos ejemplos Calcula las siguientes Derivadas Implícitas Cómo hallar por derivación implícita Y aquí lo que pides

Suscríbete RSS