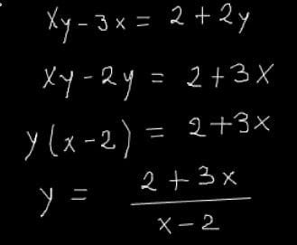
¿Como se convierte en explícita la función Xy-3x=2+2y?
Eh estado buscando en Internet como se resuelve esa función y se hace explícita pero no se como y en Internet no viene como resolverla
3 respuestas
Respuesta de Bastian Stuardo
Respuesta de Llaq Kmg
Respuesta de Nelsy orozco duque


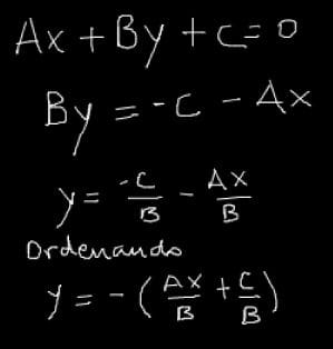
Hola. Arriba he puesto el método a seguir para despejar "y" en una ecuación implícita. - Llaq Kmg