Resolver esta tarea de matemáticas sobre limites
1. Lim f(x) -x^2 -5x +6
x ---> 3
2. Lim f(x) x^2 - 2 sobre x^2 -5x+2
x ----> 2
3. Lim f(x) √x^+3x - √x^2 + x
x ----> 1
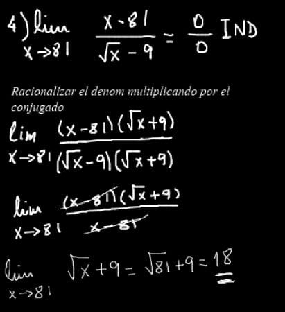
4. Lim f(x) x - 81 sobre √x - 9
x -----> 81
1 respuesta
Respuesta de Llaq Kmg
