kilowatito

kilowatito

 Estado de México, México @kilowatito desde - visto
Preguntar

Preguntas

Pregunta en

Determinar el volumen que ocupará 6.7 g de Helio a condiciones normales de presión y temperatura. Su densidad es de 0.00016 g/cm

¿Se debe usar densidad=masa/volumen? Tengo la duda porque el enunciado menciona la presión y la temperatura. ¿Cuál sería el procedimiento?
Pregunta en

Encontrar coordenadas de los vértices y los ángulos internos, a partir de las ecuaciones de la recta

Encontré los vértices. Son: (-3,0), (-3/10, 9/5) y (-15/14, -9/7) Requiero que se me explique cómo encontrar los ángulos internos
Pregunta en

Desarrollo de curvas de nivel de una ecuación

Necesito dibujar alguna de las curvas de nivel asociada con la función: f(x,y)=x+2y Lo que hice fue igualar la función con k; [k=x+2y]. Después traté de asignarle valores a k. Por ejemplo: si k=4, entonces me queda 4=x+2y; 4-x-2y=0 ¿Es correcto esto?
Pregunta en y en 1 temas más

Cómo desarrollar este problema de cálculo diferencial

Como se hace el desarrollo de 4^(z+1)-4^z En un solucionario encontré que es: 4^(z+1)-4^z=4^z*4-4^z Pero necesito saber cómo y por qué se llega a esa respuesta. Pienso que no es correcta.
Pregunta en

Problema de velocidad media en física

He estado tratando de resolver el problema que se observa en la imagen. La respuesta debe ser 1.14, pero ya he buscado diferentes opciones de resolución, y no puedo llegar a esa respuesta. El enunciado del problema es: Un patinador describe un...
Sin respuestas
Pregunta en

Pseudocódigo en lenguaje C

Buenas noches. Comienzo a estudiar programación en C, y requiero hacer un algoritmo usando estructuras repetitivas para el siguiente problema: Leer un número "x" hasta que sea positivo. Calcular e imprimir su factorial. El algoritmo debo presentarlo...
Sin respuestas
Pregunta en

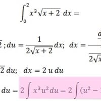
Procedimiento de integral definida

Estoy revisando un procedimiento de integración. En la parte que marco con color,podrás observar que aparece una "x" elevada a la tercera potencia. En el siguiente paso, se observa que esa "x" fué sustituida por [(u^2)-2] elevado a la 3. No encuentro...
Pregunta en

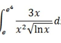
¿Cómo resolver esta integral definida?

Hola. Nuevamente requiero tu ayuda. Esta integral la he estado tratando de resolver, pero llega el momento en que no puedo avanzar. ¿Me puedes orientar en su resolución por favor?
Pregunta en

Sistema de Ecuaciones lineales 3 x 3

Buenas noches. Estoy resolviendo varios ejercicios de sistemas de 3 ecuaciones con 3 incógnitas. Tengo duda en el resultado de dos de los ejercicios que resolví. Necesito tu sabia opinión para estar seguro de mi resultado en uno de los problemas. El...
Pregunta en

Cómo resolver éstas Integrales

Nuevamente estoy atorado en la resolución de Integrales. De doce problemas, ya sólo me faltan estos dos, pero mi resultado es erróneo. Tengo que resolver la integral, y comprobar la solución por derivadas. Es por eso que me doy cuenta de que mi...