Cómo resolver éstas Integrales
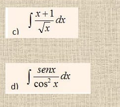
Nuevamente estoy atorado en la resolución de Integrales. De doce problemas, ya sólo me faltan estos dos, pero mi resultado es erróneo. Tengo que resolver la integral, y comprobar la solución por derivadas. Es por eso que me doy cuenta de que mi resultado es erróneo.
Solicito su ayuda......aquí está la imagen de las integrales....gracias
1 respuesta
Respuesta de Valero Angel Serrano Mercadal
1