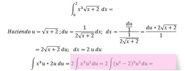
Procedimiento de integral definida
Estoy revisando un procedimiento de integración. En la parte que marco con color,podrás observar que aparece una "x" elevada a la tercera potencia. En el siguiente paso, se observa que esa "x" fué sustituida por [(u^2)-2] elevado a la 3.
No encuentro la forma en la que obtuvieron esa sustitución.........¿me puedes ayudar?.......
Gracias.

1 respuesta
Respuesta de Valero Angel Serrano Mercadal
1