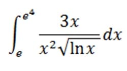
¿Cómo resolver esta integral definida?
Hola. Nuevamente requiero tu ayuda. Esta integral la he estado tratando de resolver, pero llega el momento en que no puedo avanzar. ¿Me puedes orientar en su resolución por favor?

1 Respuesta
Respuesta de Valero Angel Serrano Mercadal
1