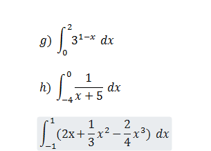
Solucion de las siguientes integrales

Ayúdenme a resolver las siguientes integrales
1 respuesta
Respuesta de Lucas m
2

Ayúdenme a resolver las siguientes integrales