Karla Martinez

Karla Martinez

 México @karlamartinez6 desde - visto
Preguntar

Preguntas

Pregunta en y en 3 temas más

Demuestra las siguientes propiedades, para los vectores en Rn

Demostraciones Demuestra las siguientes propiedades, para los vectores en Rn 1. La suma es conmutativa: A+B = B+A 2. La suma es asociativa: A+(B+C)=(A+B)+C
Pregunta en y en 3 temas más

Sea R la región acotada por las gráficas de y =√x, y =√3x − 18 y y = 0

Análisis de la integral doble (Necesario realizar la gráfica)
Pregunta en y en 3 temas más

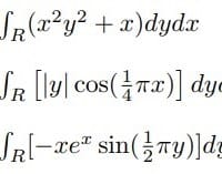
Evaluar las integrales dobles en los ejercicios del 3) al 5), donde R es el rectángulo [0, 2] × [−1, 0];

Análisis de la integral doble Evaluar las integrales dobles en los ejercicios del 3) al 5), donde R es el rectángulo [0, 2] × [−1, 0];
Pregunta en y en 3 temas más

Demostrar informalmente que el sólido de revolución mostrado en la siguiente figura, es;

Análisis de la integral doble Demostrar informalmente que el sólido de revolución mostrado en la siguiente figura, es;
Pregunta en y en 3 temas más

Determine el volumen de la f(x, y) = z = x^2 + y^2, es decir;

Análisis de la integral doble Se propone realizar la integral, iniciando para la variable y y haciendo x constante, es decir; Determine el volumen de la f(x, y) = z = x^2 + y^2, es decir; Evaluar la siguientes integrales iteradas y presentar su gráfica:
Pregunta en y en 2 temas más

Evalué las siguientes integrales definidas y realice la gráfica del área bajo la curva

Calculo de varias variables Evalué las siguientes integrales definidas y realice la gráfica del área bajo la curva
Pregunta en y en 4 temas más

La empresa farmacéutica desea saber si el nuevo tratamiento ha funcionado

Prueba de Mc Nemar Se aplica un nuevo tratamiento para controlar la presión alta, se usan los dos sistemas de control en un grupo de pacientes, la variable de respuesta es si les ha subido la presión o no en un lapso de 15 días, la empresa...
Sin respuestas
Pregunta en y en 3 temas más

Se quiere conocer si los municipios tienen el mismo problema de emisiones de partículas en g/gal

Se aplico una prueba de emisión de partículas a autos de dos municipios distintos de Hidalgo. Obteniéndose los siguientes resultados. Se quiere conocer si los municipios tienen el mismo problema de emisiones de partículas en g/gal. Utilizar la Prueba...
Sin respuestas
Pregunta en y en 3 temas más

Determinar si hay diferencias entre ellos, considerando un nivel de confianza de α=0.05

Prueba de la mediana Se ha realizado una encuesta sobre el desempeño de un profesor a dos distintos grupos, determinar si hay diferencias entre ellos, considerando un nivel de confianza de α=0.05 Donde:
Sin respuestas
Pregunta en y en 3 temas más

Realiza la prueba para saber si es válida la afirmación del profesor X

Realiza la prueba binomial para una sola muestra en el siguiente ejemplo El profesor X a cargo de una clase Y afirma que tiene el 80 % de índice de aprobación entre sus grupos. Se muestrean a 15 alumnos y se les pregunta si aprobaron o no la materia...
Sin respuestas