Pregunta en
Contabilidad
Proveedores a largo plazo
Haciendo un ejercicio de supuestos me surge una duda. ¿Existe en el nuevo PGC la cuenta 420. Proveedores a largo plazo? Si no es así, ¿A qué cuenta llevaría ahora los proveedores a los que pago en más de 1 año si no es de inmovilizado? El supuesto...
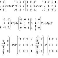
Pregunta en
Matemáticas
Resolución matriz por el método gauss jordán
Pregunta en
Arquitectura
Shun ventilación cuarto de baño.
Estoy construyéndome una vivienda y tengo un cuarto de baño sin ventana. Tengo que ponerle un shun para poder extraer los olores, el problema es que no se si tendría que ponerlo con motor para que cada vez que encienda la luz se conecte o sin motor....
Pregunta en
Derecho y Leyes
Adquirir porcentaje de vivienda en construcción.
Hola, buenos días; Le voy a explicar el caso a ver si puede aconsejarme y ayudarme. Mi pareja se está construyendo una vivienda, ¿La cuál está valorada según proyecto en 124.000?, ¿Y el terreno en 63.000? Según la Comunidad Autónoma. ¿Actualmente...
Pregunta en
Financiación y Créditos
Asesoramiento hipoteca
Buenas tardes; Actualmente me estoy haciendo una casa y necesito financiación para poder finalizarla. Yo estoy en el paro por lo que en ninguna entidad me van a conceder un préstamo. Sin embargo, he pensado en que pida el préstamo mi novio, aunque la...
Pregunta en
Financiación y Créditos
Asesoramiento préstamo
Buenas tardes; Actualmente me estoy haciendo una casa y necesito financiación para poder finalizarla. Yo estoy en el paro por lo que en ninguna entidad me van a conceder un préstamo. Sin embargo, he pensado en que pida el préstamo mi novio, aunque la...
Pregunta en
Arquitectura
Diseño fachada.
Estoy haciéndome una casa, y realmente no se como decorar la fachada. Me gustaría saber si haciéndole llegar una foto de la obra o el proyecto usted podría aconsejarme, ya que yo tengo una idea concreta, pero no me termina de convencer, y considero...
Pregunta en
Fontanería
Presupuesto preinstalación fontanería.
Estoy haciéndome una casa y me gustaría llevar una idea de lo que me puede costar la instalación de la fontanería y los desagües. La casa cuenta con 3 cuartos de baño formados los tres por váter, pie de ducha y lavabo. En la cocina está el fregadero...
Pregunta en
Albañilería
Presupuesto enlosar vivienda.
Me gustaría que me orientara un poco en cuanto al importe que me puede costar enlosar una vivienda que me estoy construyendo. La vivienda está en Murcia, cuenta con dos plantas, una primera de 132m2 y una segunda de 55m2. En el suelo me gustaría...
Pregunta en
Decoración
Decorar patio exterior.
Hola, buenas noches; Estoy haciéndome una casa que cuenta con un patio de 40m2, me gustaría saber si haciéndole llegar un plano me podría hacer algún diseño de como decorarlo. Le comento que me gustaría que fuera un patio funcional pero a la vez...
