Gustavo AR Imagen

Gustavo AR Imagen

Me gustan los gatos
 39,3K puntos  Argentina @gustavoarimagen desde - visto
Preguntar

Respuestas en Matemáticas

Respuesta en a

Ayudenme a resolver esto porfa :c ... Y=x2^+6x-7

Paso las gráficas: Paso las formas alternas: Si necesitas la resolución, debes enviarme una dirección de email porque el formato es PDF.
Respuesta en y en 1 temas más a

Resolver las siguientes funciones calculo

Formas Alternativas (arriba) Raíces (arriba)
Respuesta en a

Tarea de matemáticas racionalizaciones con todos los pasos

Te lo puedo pasar por PDF. Dame una dirección donde enviarte el resultado.
Respuesta en y en 2 temas más a

Resolver el siguiente Sistema de ecuaciones y compruebe su solución: ? ? − ? = ? ? − ?

Te paso la solución: Resolución para z: 6 x y-z = 2 x-4 y Sustraer 6xy de ambos lados: -z = 2 x+(-4 y-6 x y) Multiplicar ambos lados por -1: Answer: | z = -2 x+4 y+6 x y
Respuesta en y en 2 temas más a

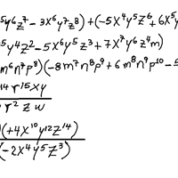
Ejercicio de matemáticas realizar todo con todos los pasos

Ejercicio 3: (-8 m^7 n^8 p^9+6 m^8 n^9 p^10-5 m^9 n^10 p^10) (6 m^5 n^6 p^7-4 m^6 n^7 p^8) = 6 m^5 n^6 p^7 (-8 m^7 n^8 p^9+6 m^8 n^9 p^10-5 m^9 n^10 p^10)-4 m^6 n^7 p^8 (-8 m^7 n^8 p^9+6 m^8 n^9 p^10-5 m^9 n^10 p^10): 6 m^5 n^6 p^7 (-8 m^7 n^8 p^9+6...
Respuesta en y en 1 temas más a

Como resuelvo estos problemas de limites

Te dejo el "c": Find the following limit: lim_(x->1) (x^3-1)/(x^3+2 x^2-3 x) (x^3-1)/(x^3+2 x^2-3 x) = (x^2+x+1)/(x (x+3)): lim_(x->1) (x^2+x+1)/(x (x+3)) lim_(x->1) (x^2+x+1)/(x (x+3)) = (1+1+1^2)/(1 (3+1)) = 3/4: Answer: | | 3/4
Respuesta en a

Resolución de las siguientes derivadas.

d/dx(Y) = d/dx(log(2, e^x+2)) Reescribir expresión: d/dx(Y) = d/dx(Y): d/dx(Y) = d/dx((log(2+e^x))/(log(2))) 0 = d/dx((log(2+e^x))/(log(2))) Factorizar constantes: 0 = (d/dx(log(2+e^x)))/(log(2)) Usando la regla de la cadena, d/dx(log(e^x+2)) = (...
Respuesta en a

Valor Absoluto ¿Esta afirmación es verdadera o falsa?

Por lo que entiendo es verdadera porque por puede ser negativo y entonces, con el juego de signos toma valor positivo.