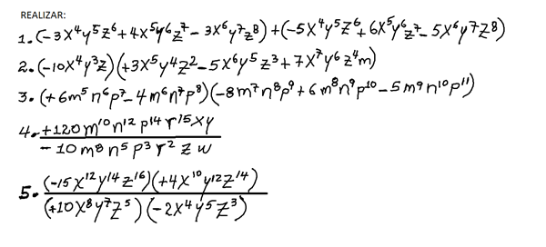
Ejercicio de matemáticas realizar todo con todos los pasos
REALIZAR TODO CON TODOS LOS PASOS :m :a :t :e :m :a :t :i :c :a :s : resolver.

2 respuestas
Respuesta de Luis Alberto Candio Salcedo
1
Respuesta de Gustavo AR Imagen
