Fernanda ramos

Fernanda ramos

responsabilidad mas esfuerzo igual a exito
 Santander de Quilichao, Colombia @fernandasomar desde - visto
Preguntar

Preguntas

Pregunta en y en 4 temas más

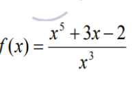
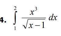
Como identificamos y resolvemos una integral indefinida -definida

Aplicando las propiedades resolver la siguiente integral y definir la integral
Pregunta en y en 4 temas más

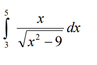
Resolver la siguiente integral y determinar si se aplica o no el teorema fundamental del calculo

Explicar paso a paso la solución de esta integral según corresponda
Sin respuestas
Pregunta en y en 4 temas más

Como resolver integrales y determinar si convergen o divergen

Evaluar las siguiente integral impropia si convergen o divergen:
Sin respuestas
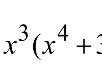
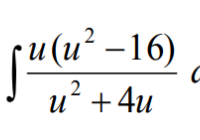
Pregunta en y en 4 temas más

Resolver aplicando las propiedades básicas, ¿Las siguientes integrales?

El conjunto de todas las antiderivadas de f(x) se llama integral indefinida de f respecto a x, y se denota por el símbolo ∫ ?(?)?? = ?(?) + ?. Resolver la siguiente integral aplicando las propiedades básicas
Pregunta en y en 4 temas más

Como evaluar una integral teniendo en cuanta varias consideraciones?

Un objeto en el origen en el instante? = 0 tiene velocidad, medida en metros por segundo, Evaluar la integral De acuerdo con las anteriores consideraciones.
Pregunta en y en 4 temas más

Como aplicar el primer teorema fundamental del calculo?

Aplicar el Primer Teorema Fundamental del Cálculo para determinar
Pregunta en y en 4 temas más

Como Hallar el valor medio de una función por medio del teorema?

Hallar el valor medio de la función en el intervalo [0,3] según el teorema.
Pregunta en y en 4 temas más

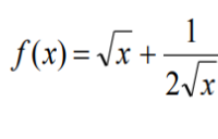
¿Cómo encontrar la antiderivada de una función?

Como resolver la siguiente función según el calculo integral.
Pregunta en y en 4 temas más

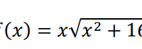
¿Cómo desarrollar ejercicios de calculo integral?

Sea f una función definida en los reales, con una antiderivada F, entonces su antiderivada general será G, tal que: ?(?) = ?(?) + ?, para ? = ?????????, además ?(?) = ? ′ (?) = ?′(?). Cada ejercicio se debe resolver paso por...
Pregunta en y en 4 temas más

¿Resolver el siguiente ejercicio de la primera ley de la termodinámica?

¿La masa de nitrógeno que se encuentra en el interior de un cilindro vertical provisto de un émbolo de área transversal de 30 cm2, el cual se desplaza sin fricción, es de 0,7 g. Si la presión atmosférica es de 101 kPa y sobre él se ejerce una fuerza...