Fernanda ramos

Fernanda ramos

responsabilidad mas esfuerzo igual a exito
 Santander de Quilichao, Colombia @fernandasomar desde - visto
Preguntar

Preguntas

Pregunta en y en 2 temas más

¿Cómo resolver el siguiente problema de matemáticas?

¿En un evento se recibieron 3554 invitaciones cada invitación era valida para una pareja cuantos invitados asistieron al evento?
Pregunta en y en 4 temas más

Como resolver un ejercicio aplicando orden de reacción

17. Al descomponerse cierta sustancia gaseosa a 40 °C, la presión parcial en función del tiempo se presenta a continuación: Tiempo (min) 0 20 40 70 80 Presión (mmHg) 350 195 110 45 33 Determine el orden de reacción y la constante de velocidad para la...
Sin respuestas
Pregunta en y en 4 temas más

Como resolver ejercicios sobre cinética arrhenius

12. A 35°C la constante de velocidad de la reacción de descomposición del óxido de nitrógeno (V) en óxido de nitrógeno (IV) y oxígeno es de 3.45x10⁻4 seg-1 y a 55ºC es de 1.25x10-3 seg-1. De acuerdo con lo anterior determine cuál es el valor de la...
Sin respuestas
Pregunta en y en 4 temas más

Como resolver ejercicios aplicando el principio de chatelier

En un sistema en equilibrio como se muestra en la siguiente reacción: ??2?5(?) ↔??2?3(?) +?2(?) Las concentraciones iniciales son Sb2O5= 3 mol/L, Sb2O3= 5 mol/L y O2= 5 mol/L. Calcule la concentración de todos los componentes cuando la...
Sin respuestas
Pregunta en y en 4 temas más

Como resolver ejercicios de la ecuacion de van´t hoff

8. La constante de equilibrio para la síntesis de amoniaco es 6.8 x 105 a 298 K y su reacción química es: 3?2(?) +?2(?) ↔ 2??3 (?) Prediga su valor a 400 K si se conoce que la entalpía estándar de formación del compuesto NH3 es -46,11 kJ/mol
Sin respuestas
Pregunta en y en 4 temas más

Como se resuelven ejercicios sobre equilibrio químico

3. Se coloca una mezcla de 0.7 moles de H2 y 0.7 moles de I2 en un recipiente de acero inoxidable de 2.0 L de capacidad a una temperatura T = 420 °C. La reacción que ocurre dentro del recipiente se describe como sigue: ?2 + ?2 ↔ 2 ? Si se conoce...
Sin respuestas
Pregunta en y en 4 temas más

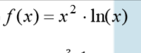
Calcula las siguientes derivadas de orden superior.

Resolver el siguiente ejercicio sobre derivadas y su orden segun la teoria
Pregunta en y en 4 temas más

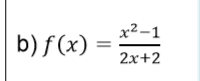
Calcula las siguientes Derivadas Implícitas

Resolver el siguiente ejercicio y hacer los respectivos cálculos para dar solución al mismo
Pregunta en y en 4 temas más

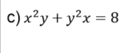
Como aplicar los conocimientos sobre derivadas

Aplicando las reglas de la derivación calcular las siguientes derivadas
Pregunta en y en 3 temas más

¿Cómo calcular las siguientes derivadas aplicando las reglas de derivación?

Calcular la derivada del siguiente ejercicio aplicando sus reglas