Como Hallar el valor medio de una función por medio del teorema?
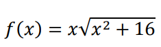
Hallar el valor medio de la función
en el intervalo [0,3] según el teorema.
1 respuesta
Respuesta de Norberto Pesce
1
