Como aplicar el primer teorema fundamental del calculo?
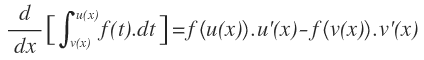
Aplicar el Primer Teorema Fundamental del Cálculo para determinar

1 respuesta
Respuesta de victor vazquez estrada
2
