Pregunta en
Matemáticas
y en 3 temas más
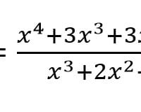
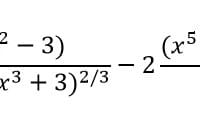
Calculo diferencial: Demostrar que la siguiente derivada da como resultado 1
Pregunta en
Matemáticas
y en 1 temas más
Resolver la siguiente derivada de radicales:
Obtener la derivada de las siguiente funcion:
Pregunta en
Matemáticas
Despejar "x" en la siguiente fórmula matemática con 3 variables:
Se tiene la siguiente forula con 3 variables, y se requiere despejar "x". Z=2√x^2+y^2
Pregunta en
Matemáticas
Sea G un gráfico con más de un vértice. Demostrar que las siguientes afirmaciones son equivalentes.
Esta pregunta es de grafos: Sea G un gráfico con más de un vértice. Demostrar que las siguientes afirmaciones son equivalentes: 1)G es un árbol. 2)Cada par de vértices está unido por exactamente un camino simple.
Sin respuestas
Pregunta en
Matemáticas
Este es una demostración de grafos:Sea P (m): Dado un grafo G = (V, A) con |A| = m.
Sea P (m): Dado un grafo G = (V, A) con |A| = m. Si G es conexo y todos los vértices de G son de grado par, entonces G contiene un circuito Euleriano.
Pregunta en
Matemáticas
y en 1 temas más
En un cuadrado de lado 3 se cortan triángulos rectángulos isósceles en cada una de sus cuatro esquinas, de tal manera
Pregunta en
Matemáticas
Este problema es de trigonometría: Si los dos triángulos son congruentes o semejantes:
Pregunta en
Matemáticas
