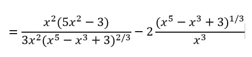
Matemáticas Esteban Gutierrez el 23 nov. 20 Simplificar o reducir la siguiente expresión algebraica: Buenos días, si me podrían ayudar a simplificar o reducir la siguiente expresión algebraica. Seguir Siguiendo Dejar de seguir