Actividad pública reciente
Ha cambiado su perfil.
- Nombre completo: Ela Arroyo.
Ha valorado "Excelente" la respuesta
¿Como calcular el punto de equilibrio¡?
Ha valorado "Excelente" la respuesta
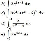
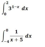
Como puedo resolver las siguientes 2 integrales?
Voto positivo a la respuesta
¿Quién sabe esta respuesta?Matemáticas
· 1) La utilidad son los ingresos menos los gastos I(q) = 8.35p C(q) = 7.2q + 2116 U(q) = 8.35p - (7.2q + 2116) = 8.35p - 7.2p - 2116 U(q) = 1.15q - 2116 Ahora sustitímos U(q) por la utilidad que nos dicen y calculamos q a) 4600 = 1.15q - 2116 4600 +...
Voto positivo a la respuesta
¿Cómo determino la tasa de cambio y el criterio de la primera derivada?
Ha empezado a seguir a
Ha preguntado en el tema en
Matemáticas
y en 2 temas más
Como determino la integral de las funciones?
Sin respuestas
Ha valorado "Excelente" la respuesta
Duda sobre costo marginal y determinación de derivada!
· Si nos dan el costo marginal (derivada del costo) para obtener el costo debemos hacer la integral de la función que nos dan respecto de q.
Voto positivo a la respuesta
¿Como determinoIncremento de utilidad y elasticidad de la demanda?
· Esta pregunta de tres ejercicios ya ha llegado alguna vez y la he resuelto. Es muy larga para resolverla cada vez que viene, aparte que debería venor en tres preguntas distintas. Te doy los enlaces a los tres ejercicios. No olvides dar aquí la...
Voto positivo a la respuesta
¿Cómo determinar el tiempo que le conviene tener en operación la maquinaria y determinar la utilidad acumulada desde el momento?
· Pues como nos indican lo que hay que hacer simplemente lo haremos. 5.88 - 0.05t^2 = 0.2 + 0.2t^2 5.88 - 0.2 = 0.2t^2 + 0.05t^2 5.68 = 0.25t^2 t^2 = 5.68 / 0.25 = 22.72 t = sqrt(22.72) = 4.77 años Luego le conviene tenerla 4.77 años · Y ahora...
Voto positivo a la respuesta
Calclo diferencial y sus aplicaciones, análisis marginal
· S e me hace un poco raro que la expresión tenga forma de producto en lugar de sumandos, pero eso es lo que pone. La asalta a uno la duda si efectuar primero el producto y derivar después o derivar directamente, voyu a hacerlo de esda segujnda...

