Danna Saabedra

Danna Saabedra

 México @dannasaabedra desde - visto

Preguntas

Pregunta en y en 4 temas más

¿Como determinar el momento de la siguiente figura con respecto al punto "o"?

Me Pueden proporcionar el método pata resolver el problema empleado
Pregunta en y en 4 temas más

Como determinar el peso del motor siguiente respecto a su w=250kg

Como determinar el peso del motor respecto a que W= 250 kg. Y un angulo de 30° Al igual como puedo hallar el Tab. Y Tad. Me pueden proporcionar un método para resolver la pregunta
Pregunta en y en 4 temas más

Como hallar fuerza resultante y su dirección y sentido.

Como encontrar la fuerza resultante y su dirección y sentido de cada figura. Me pueden proporcionar un método para resolverlo ´
Pregunta en y en 4 temas más

Una fuerza de 30 lb actúa sobre el extremo de una palanca de 3 ft, como se muestra en la figura

Determine el momento de la fuerza con respecto a O Como puedo realizarlo obteniendo como resultado Mo= 30.8 lb*ft
Pregunta en y en 4 temas más

Para levantar el poste de alumbrado desde la posición mostrada

La fuerza F sobre el cable debe crear un momento con sentido contrario al de las manecillas del reloj de 1500 lb * ft con respecto al punto A. Determine la magnitud de F que debe aplicarse al cable. Obtener como resultado un aprox. De 190.83 lb
Pregunta en y en 4 temas más

Encuentre en forma gráfica el peso de un cuerpo

Que se encuentra suspendido del techo por dos cuerdas, las cuales ejercen una fuerza de 320N y 400N, y forman un ángulo de 80°.
Pregunta en y en 4 temas más

Como determinar el valor de fuerzas resultantes

Dos caballos arrastran un tronco mediante sendas cuerdas que llevan atadas a uno de los extremos de dicho tronco. Uno de los caballos ejerce una fuerza de 500N hacia el este y el otro una fuerza de 800N en dirección noreste. Determinar gráfica y...
Pregunta en y en 4 temas más

Determinar por el método gráfico del polígono la resultante de las siguientes fuerzas concurrentes

Así como el ángulo formado respecto al eje X positivo, los ángulos de las fuerzas están medidos respecto al eje X positivo. F1= 200N a 30°; F2= 300N a 90°; F3= 150N a 120°; F4= 250N a 220°.
Pregunta en y en 4 temas más

Determinar por los métodos gráficos y analíticos

Me pueden explicar
Pregunta en y en 4 temas más

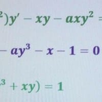
Como cambio las siguientes ecuaciones por el método de Bernoulli

Ayuuuuuudaaaaaaaa :( Respecto a sus soluciones, como las cambio a una ecuación de primer orden
Sin respuestas