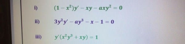
Como cambio las siguientes ecuaciones por el método de Bernoulli


Ayuuuuuudaaaaaaaa :(
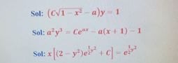
Respecto a sus soluciones, como las cambio a una ecuación de primer orden


Ayuuuuuudaaaaaaaa :(
Respecto a sus soluciones, como las cambio a una ecuación de primer orden