Claudio Olivo

Claudio Olivo

Como el agua en el río rocoso, no me estaco, supero los obstáculos.
 7.625 puntos  Venezuela @claudioolivo desde - visto
Preguntar

Preguntas

Pregunta en y en 2 temas más

Estadística, distribución normal ejercicio propuesto.

El gerente de personal de una gran compañía requiere que los postulantes a un puesto efectúen una prueba de aptitud y que en ella obtengan una calificación mínima de 500. Si las calificaciones de la prueba se distribuyen normalmente con una media de...
Pregunta en y en 2 temas más

Economía, Se requiere calcular el punto de equilibrio y la utilidad o pérdida

En la fabricación de muebles de oficina, una empresa utiliza para cada unidad de de producto que fabrica, lo siguiente: Maquinarias y equipos por valor de 60.000.000,00 $Herramientas por valor de 6.500.000,00 $Materia Prima por valor de 85.000,00...
Pregunta en y en 2 temas más

Sustantivos Ejercicios Gramaticales de Español

Ubique en el siguiente texto los sustantivos y escríbalos en la tabla. Asimismo, indique el género y el número de cada uno. El camino del aventurero comienza cuando su meta es conseguir un apartamento pequeñito, si es posible en una zona céntrica,...
Pregunta en y en 1 temas más

Ejercicios de Gramática con Sustantivos.

Señale los errores de género en las siguientes frases. De existir alguna correcta, indíquelo con el símbolo (B) : a) la reo f) todo índole b) la detonante g) el pelambre c) la avestruz h) el contraluz d) la miembro i) la tequila e) las esponsales j)...
Pregunta en y en 1 temas más

Ejercicio de problemas de Distribución Normal Estadística

Las estaturas de los estudiantes de una universidad se distribuyen normalmente con media de 170 cm y desviación típica de 10 cm. Si se toma una muestra de 81 estudiantes. Cuál es la probabilidad de que tengan una estatura superior a 175 centímetros
Pregunta en y en 3 temas más

Combinaciones, matemática de secundaria ejercicios propuestos

En un juego de lotería hay un pote acumulado de 200.000.000 de $. Una persona, para estar segura de ganarse el pote, decide marcar todos los posibles resultados. Cuánto dinero debe gastar, ¿Sabiendo qué para elaborar una jugada hay que seleccionar 6...
Pregunta en y en 3 temas más

5to Año de secundaria Combinaciones posibles

Se disponen de seis libros diferentes de física, cuatro de química y tres de matemáticas. De cuántas formas diferentes pueden colocarse en un estante, si: 1) Se colocan mezclados. 2) Si los libros de cada asignatura deben estar juntos. 3) Si los...
Pregunta en y en 1 temas más

Matemática Bachillerato ejercicio de combinaciones

El manager de un equipo de baseball insiste en que su mejor jugador batee en cuarto lugar y el pitcher al final. En estas condiciones, ¿Cuántos ordenes distintos de bateo son posibles que él escriba?. Desarrollar el ejercicio paso a paso para poder...
Pregunta en y en 2 temas más

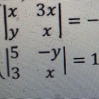
Solución de Sistemas mediante Determinantes. Bachillerato

Resolver el siguiente sistema hallando las soluciones del mismo.
Pregunta en y en 2 temas más

Ejercicios de Cálculo de Determinantes de Matrices. Hallar el determinante de la siguiente Matriz

Hallar el determinante de la siguiente matriz, Emplear el método más eficiente o el conocido por usted.

Suscríbete RSS