Anyara Aguirre

Anyara Aguirre

 Chile @anyaraaguirre desde - visto
Preguntar

Preguntas

Pregunta en y en 1 temas más

Problema de movimientos en el plano entre dos partículas

Necesito hallar la altura se que mis velocidades en la particula a seran vox=4m/s voy=0 y la velocidad en la particula b seran vox=2m/s cos 60 voy=2m/s sen 60
Pregunta en y en 2 temas más

Profesor Valero podría resolver este problema de torque en tercera dimensión

Si mis calculos no son erroneos las coordenadas de los puntos son lo siguientes: A(-3,0,0) B(-3-6cos53,0,6sen53) C(0,4,0) D(0,-4,0) Entonces las tensiones T1= UN VECTOR UNITARIO DE BD ,dandome coordenadas: (6.6/9.1,-4/9.1,-4.79/9.1) T2= UN VECTOR...
Sin respuestas
Pregunta en y en 2 temas más

Calcular las tensiones que se encuentran en tercera dimensión

Se que las coordenas de A=(-3,0,0) B=(-3-6cos53, 0,6sen53)C=(0,4,0)D=(0,-4,0) y que ademas las tensiones desde B a D y de B a C se obtienen calculando los vectores unitarios
Pregunta en y en 2 temas más

Problema de torque en tres dimensiones

Despreciando el peso del mástil, cuando la tensión T3 = 20 [N], determine cuando el sistema está en equilibrio: a) la fuerza que se ejerce sobre la rótula A b) el torque de T1 respecto del punto B
Pregunta en y en 1 temas más

Problema de Torque en el que necesito hallar las tensiones en los cables y reacciones en O

Se que debo primero hallar las fuerzas que actuan en este problema
Pregunta en y en 2 temas más

Los discos verticales 1 y 2 de radio r1=m y r2=4m

Necesito hallar el tiempo en que B esta en la posición de P, sabiendo que inicialmente A y B están en theta=pi
Pregunta en y en 4 temas más

Una partícula A inicialmente se encuentra en el borde de un disco

Un disco de radio 2 Mt formando un ángulo con la horizontal de B=60 con aceleración angular constante de 5pi/6 rad/s^2 , al cabo de 2 segundos se desprende del disco, en ese instante una partícula b se lanza verticalmente hacia arriba con una rapidez...
Pregunta en y en 3 temas más

Hallar el valor de la integral definida de x(4-x)^1/2dx

Su integral va de 0 a 4, utilice sustitución dejando u= 4-x de la cual despeje x y para reemplazar por lo que en fin la sustitución me da - (4-u)(u)^1/2du
Pregunta en y en 3 temas más

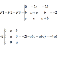
Demostrar sin desarrollar uilizando propiedades de determinates

La siguiente matriz : b+c a a b a+c b c c a+b Que sea igual a 4abc
Pregunta en y en 2 temas más

∫((x+3)/((x^2+6x)^1/3)dx Necesito hallar la integral de esta función

Utilice la integración por parte, dejando u =(x^2+6x)^1/3 y dv=x+3 , luego no se como poder seguir