Demostrar sin desarrollar uilizando propiedades de determinates
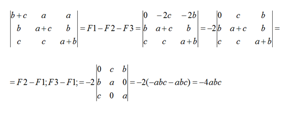
La siguiente matriz : b+c a a
b a+c b
c c a+b
Que sea igual a 4abc
1 respuesta
Respuesta de Lucas m
1
