Preguntas esperando respuesta
Actividad pública reciente
Ha preguntado en el tema en
Matemáticas
y en 4 temas más
Estimación puntual de parámetros, problema de probabilidad y estadística.

Sin respuestas
Ha valorado "Buena" la respuesta
Por qué n=10/0=0 es un número natural, y por qué 0/0 es finito.
Ha preguntado en el tema en
Física
y en 4 temas más
Suponga que la partícula en una caja esta en el estado:

Sin respuestas
Ha valorado "Buena" la respuesta
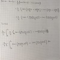
Resolver la integral. Es un problema del tema partícula en una caja.
Ha valorado "Buena" la respuesta
¿Variables conjugadas y como se sabe que una variable es conjugada en el ámbito del principio de incertidumbre de Heisenberg?
Ha valorado "Excelente" la respuesta
A partir de la ecuación De Broglie encuentre el postulado de Bohr.
Ha empezado a seguir a