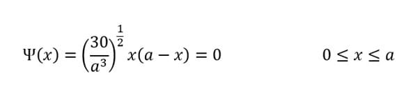
Suponga que la partícula en una caja esta en el estado:

Además note que (psi(x)) no es eigenfunción de la partícula en la caja. ¿Cuál es la energía promedio?

Además note que (psi(x)) no es eigenfunción de la partícula en la caja. ¿Cuál es la energía promedio?