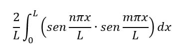
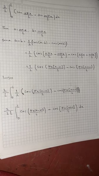
Resolver la integral. Es un problema del tema partícula en una caja.

Resolver está integral, es un problema de química cuántica, partícula en una caja potencial unidimensional.
...
1 Respuesta
Respuesta de albert buscapolos Ing°
2

